R语言与函数预计进修条记(样条要领)
样条预计
假如函数在差异处所有差异的非线性度,可能有多个极值点,那么用多项式出格是低阶多项式来完成拟合长短常不符合的。一种办理步伐是我们之前提到的近邻多项式(可能称局部多项式),另一种就是样条——用分段的低阶多项式迫近函数。
关于样条,常用的有两类,一类是多项式样条,另一类是平滑样条。
多项式样条
多项式样条的样条基有许多,更为著名的是我们之前在函数迫近中提到的truncated power basis与B-spline basis。我们这里十分扼要的先容一下B样条,B样条基下的函数迫近可以写为:[ f(x)=beta_0+beta_1 x+cdots+beta_p x^p+sum_{j=1}^n beta_j B_j^p(x) ]个中[ B_i^p(x)=frac{x-c_i}{c_{i+p}-c_i}B_{i}^{p-1}(x)+frac{c_{i+p+1}-x}{c_{i+p+1}-c_{i+1}}B_{i+1}^{p-1}(x) ]上式中( B_i^0(x) =1 )当且仅当( c_i le x<c_{i+1} )不然取0.在R中splines包的函数bs()提供了B样条预计,其挪用名目为:
bs(x, df = NULL, knots = NULL, degree = 3, intercept = FALSE, Boundary.knots = range(x))
对付参数df值得说明的是df=degree+(Knots个数),attr(,“knots”)会显示分别点,我们常用的3次B样条公式: df=k+3 (不含常数项)
我们以前面提到的essay data为例说明B样条的预计环境:
easy <- read.table("D:/R/data/easysmooth.dat", header = T)
x <- easy$X
y <- easy$Y
m.bsp <- lm(y ~ bs(x, df = 6))
s = function(x) {
(x^3) * sin((x + 3.4)/2)
}
x.plot = seq(min(x), max(x), length.out = 1000)
y.plot = s(x.plot)
plot(x, y, xlab = "Predictor", ylab = "Response")
lines(x.plot, y.plot, lty = 1, col = 1)
lines(x, fitted(m.bsp), lty = 2, col = 2)
attr(bs(x, df = 6), "knots") #可以将看到,节点在不指定的环境下默认的是匀称样条,虽然,我们可以按照散点图给#出节点的详细选择。
## 25% 50% 75%
## -1.875 -0.250 1.375
m.bsp1 <- lm(y ~ bs(x, df = 6, knots = c(-2.5, -1, 2)))
lines(x, fitted(m.bsp1), lty = 3, col = 3)

AIC(m.bsp)
## [1] 718.1
AIC(m.bsp1)
## [1] 727.4
summary(m.bsp)
##
## Call:
## lm(formula = y ~ bs(x, df = 6))
##
## Residuals:
## Min 1Q Median 3Q Max
## -3.790 -0.911 -0.065 0.892 4.445
##
## Coefficients:
## Estimate Std. Error t value Pr(>|t|)
## (Intercept) 1.816 0.622 2.92 0.0039 **
## bs(x, df = 6)1 -10.552 1.161 -9.09 < 2e-16 ***
## bs(x, df = 6)2 -7.127 0.755 -9.44 < 2e-16 ***
## bs(x, df = 6)3 0.813 0.926 0.88 0.3808
## bs(x, df = 6)4 -4.056 0.859 -4.72 4.5e-06 ***
## bs(x, df = 6)5 5.781 0.967 5.98 1.1e-08 ***
## bs(x, df = 6)6 -3.505 0.865 -4.05 7.4e-05 ***
## ---
## Signif. codes: 0 '***' 0.001 '**' 0.01 '*' 0.05 '.' 0.1 ' ' 1
##
## Residual standard error: 1.42 on 193 degrees of freedom
## Multiple R-squared: 0.824, Adjusted R-squared: 0.819
## F-statistic: 151 on 6 and 193 DF, p-value: <2e-16
可以看到B样条根基很靠近真实函数了,summary(m.bsp)陈诉了各个系数的预计,带入( f(x) )的B样条基展开中即可获得一个显式的表达式。
平滑样条
固然B样条已经很好了,可是理论与实践都表白直接用最小二乘去求解系数结果欠好,容易过拟合。一个大概的改造是平滑样条。所谓的平滑样条,就是在求解最小二乘时给预计函数( f(x) )加上了必然的处罚,这个有点雷同压缩预计。我们这里回收最常用的平滑性处罚,获得函数( f(x) )的预计( m(x) )满意如下的处罚最小二乘:[ min sum_{i=1}^n (y_i-m(x_i))^2+lambda int [m”(x)]^2 dx ]在R的splines包中提供了函数smooth.spline来求解平滑样条
easy <- read.table("D:/R/data/easysmooth.dat", header = T)
x <- easy$X
y <- easy$Y
s.hat <- smooth.spline(x, y)
## OUTPUT
s.hat
## Call:
## smooth.spline(x = x, y = y)
##
## Smoothing Parameter spar= 0.7251 lambda= 0.0002543 (12 iterations)
## Equivalent Degrees of Freedom (Df): 11.56
## Penalized Criterion: 380.9
## GCV: 2.145
## OUTPUT PLOTS
s <- function(x) {
(x^3) * sin((x + 3.4)/2)
}
x.plot = seq(min(x), max(x), length.out = 1000)
y.plot = s(x.plot)
plot(x, y, xlab = "Predictor", ylab = "Response")
lines(x.plot, y.plot, lty = 1, col = 1)
lines(s.hat, lty = 2, col = 2)

#p#分页标题#e#
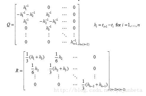
最后我们来讲一下怎么计较出( m(x) ),这里我们利用Reinsch algorithm。Step 1: 计较向量( Q’y ) .Step 2: 找到一个非0对角阵( R+lambda Q’Q ) 使得它可以举办Cholesky解析,有因子L,DStep 3: 解方程:( (R+lambda Q’Q)gamma=Q’y )Step 4: 获得估值( m=y-alpha Q gamma ).上面的Q与R可以暗示为:

上面的t暗示节点。我们不妨来算算essay data的例子:
easy <- read.table("D:/R/data/easysmooth.dat", header = T)
x <- easy$X
y <- easy$Y
n <- length(y)
knots <- seq(min(x), max(x), length = n + 1)
h <- knots[-1] - knots[-n]
Q <- matrix(0, n, n - 2)
R <- matrix(0, n - 2, n - 2)
for (i in 1:(n - 2)) {
Q[i, i] = 1/h[i]
Q[i + 1, i] = -1/h[i] - 1/h[i + 1]
Q[i + 2, i] = 1/h[i + 1]
}
for (i in 2:(n - 2)) {
R[i, i] = 1/6 * (h[i] + h[i + 1])
R[i - 1, i] = h[i]/6
R[i, i - 1] = h[i]/6
}
R[1, 1] = 1/6 * (h[1] + h[2])
lambda <- 0.2
A <- R + lambda * t(Q) %*% Q
gamma <- solve(A, t(Q) %*% as.matrix(y))
g <- as.matrix(y) - lambda * Q %*% gamma
s <- function(x) {
(x^3) * sin((x + 3.4)/2)
}
x.plot <- seq(min(x), max(x), length.out = 1000)
y.plot <- s(x.plot)
plot(x, y, xlab = "Predictor", ylab = "Response")
lines(x.plot, y.plot, lty = 1, col = 1)
lines(x, g, lty = 2, col = 2)

在处罚系数为0.2的环境下,拟合照旧不坏的,不是吗?至于为什么可以这样算,我们只要留意到( int [m^{”}(x)]dx=m^'(x_i)QR^{-1}Q^’m(x_i) ),预计的问题就与我们十分熟悉的lasso,岭回归十分相像了。